近日,NT动漫
曹丙强教授课题组杨超博士和齐文涛博士在复合碳基超级电容器与新型锂硫电池等储能材料与器件领域取得系列进展,先后在JOURNAL OF POWER SOURCES,INTERNATIONAL JOURNAL OF HYDROGEN ENERGY和CHEMICAL ENGINEERING JOURNAL等材料类1/2区期刊上发表系列论文8篇。

图1. 氮硫共掺杂碳纳米气凝胶的形貌与结构表征
碳基超级电容器基于双电层电容机理存储电荷,具有可快速充放电、高功率密度等优点,但能量密度较低;提高碳纳米材料的比电容对于改善碳基超级电容器的电化学储能性能至关重要。杨超博士提出了一种仲丁醇辅助的水热法来还原氧化石墨烯,制备出一种表面褶皱的三维多级孔石墨烯水凝胶,微孔的形成极大地提高了比表面积,组装的水系超级电容器具有超高的比电容和能量密度,相关结果发表在JOURNAL OF POWER SOURCES(399:115-124,2018)上;采用电泳技术在石墨纤维表面沉积了具有微孔结构的活化碳纳米管,这种复合电极在PVA凝胶电解质中显示出优异的结构稳定性,获得了高强度、高倍率的柔性固态超级电容器,相关结果发表在APPLIED SURFACE SCIENCE(502:144423,2020)上。此外,还采用溶胶凝胶-高温碳化法制备出一种多级孔、氮硫共掺杂碳纳米气凝胶(如图1),通过多级孔结构提高比表面积与氮硫共掺杂提高赝电容相结合来提升其电容性能,组装的非对称型超级电容器在酸性水系电解质中可提供极高的电压窗口(2 V)和能量密度(59.7 Wh kg-1),并结合DFT计算研究了活性氮含量对其层间距的影响,相关结果发表在CHEMICAL ENGINEERING JOURNAL(383:123153,2020)上。


图2 N掺杂介孔碳包覆的空心CeO2纳米球的形貌和电化学性能
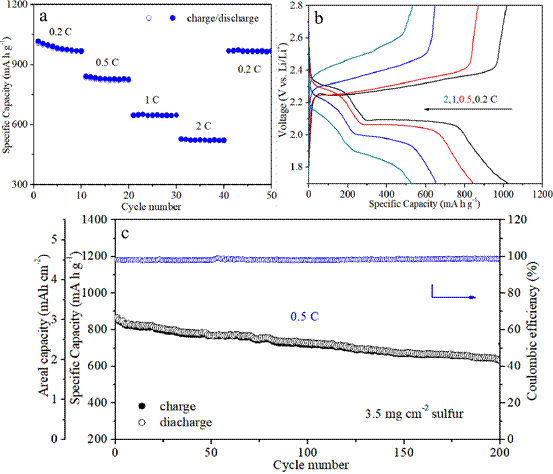
锂硫(Li-S)电池以其低成本,高理论比容量和高能量密度等优势被视为极具应用前景的储能系统。但它的实际放电容量和循环性能依然受到诸多因素制约,例如硫及其还原产物导电性差,多硫化物(LiPS)的溶解和穿梭,以及材料体积膨胀/收缩等。增强储硫能力,提供充足的锂离子扩散/电子传输通道,促进LiPS的动力学转化过程是电极材料开发的关键,同时也是实现高性能Li-S电池的必要条件。齐文涛博士通过热处理普鲁士蓝类似物制备CoFe合金修饰的N掺杂的介孔碳用于硫正极,介孔碳的物理吸附可以减少多硫化物的扩散,碳骨架中均匀分布的CoFe合金与N催化活性位点CoFe-Nx不仅提高了碳材料的电导率,同时可以促进多硫化物吸附与催化转化,有效抑制多硫化物的穿梭效应,展现出良好的循环性能(在1 C下循环500次后容量仍有673 mAh g-1),相关结果发表在INTERNATIONAL JOURNAL OF HYDROGEN ENERGY(44:20257-20266,2019)上。此外,采用简单的模板法制备N掺杂的介孔碳包覆空心CeO2纳米球用于硫正极(如图2),空心纳米球结构不仅可以负载更多的硫,而且可以缓解硫氧化还原过程中的体积膨胀,同时可以在一定程度上限制多硫化物的移动;CeO2因其自身独特的氧化还原稳定性及催化活性,可以有效化学吸附和催化转化多硫化物,抑制穿梭效应;超薄的N掺杂的介孔碳包覆CeO2纳米球在可以提高CeO2纳米球的电导率,弥补金属氧化物电导率的不足,因此在N掺杂的介孔碳与空心CeO2纳米球的协同作用下,电池展现出优异的电化学性能(硫负载量为3.5 mg m-2时,在0.2 C下的放电容量为975 mAh g-1),相关结果发表在CHEMICAL ENGINEERING JOURNAL(382:122852,2020)上。
上述论文第一单位均为曲阜师范大学NT动漫
,曹丙强教授和杨超博士或齐文涛博士为论文共同通讯作者,硕士研究生贾琦是论文CHEMICAL ENGINEERING JOURNAL(383:123153,2020)的第一作者。实验表征测试工作在NT动漫
新建设的学科公共平台上完成,计算模拟工作依托学校高性能计算中心服务器完成。相关研究受到国家自然科学基金和山东省自然科学基金资助。
此外,课题组还和济南大学杨树华副教授、齐鲁工大罗婷博士等人合作,在激光液相辐照烧蚀制备具有氧空位缺陷的多孔氧化物超级电容器材料与器件领域取得系列进展,相关论文发表在JOURNAL OF POWER SOURCES(431:220-225,2019)和ELECTROCHIMICA ACTA(32:135499,2020)等期刊上。